地球环境研究所在旱季向雨季过渡时期刺槐水分利用模式研究中取得进展
黄土高原是典型的生态环境脆弱区。1999年以来实施的退耕还林(草)工程有效改善了该区水土流失状况,显著提高了植被覆盖度。植被状况明显改善的同时,也产生了深层土壤水分亏缺与土壤干燥化问题(如,人工植被下伏土壤干层的形成)。
土壤水分是黄土高原植被恢复与生态重建的关键因子。刺槐作为退耕还林(草)工程引进的重要树种之一,其水分利用模式尚不明确,尤其是旱季向雨季的过渡时期。因此,明晰黄土高原典型人工植被(刺槐)的土壤水分利用策略,有助于理解植被-土壤系统中水分运动与植物吸水的关系,对系统认识该区水分循环与有限水资源的可持续管理具有重要意义。
最近,中国科学院地球环境研究所王云强研究员土壤水分生态团队,依托黄土高原地球关键带与地表通量野外观测研究站,以顾屯流域内的典型刺槐样地为研究对象,同步采集降雨、0-5米深度土壤和植物样品,利用氢氧稳定同位素技术,研究了从旱季向雨季过渡时期刺槐利用不同土层土壤水分的主要模式。
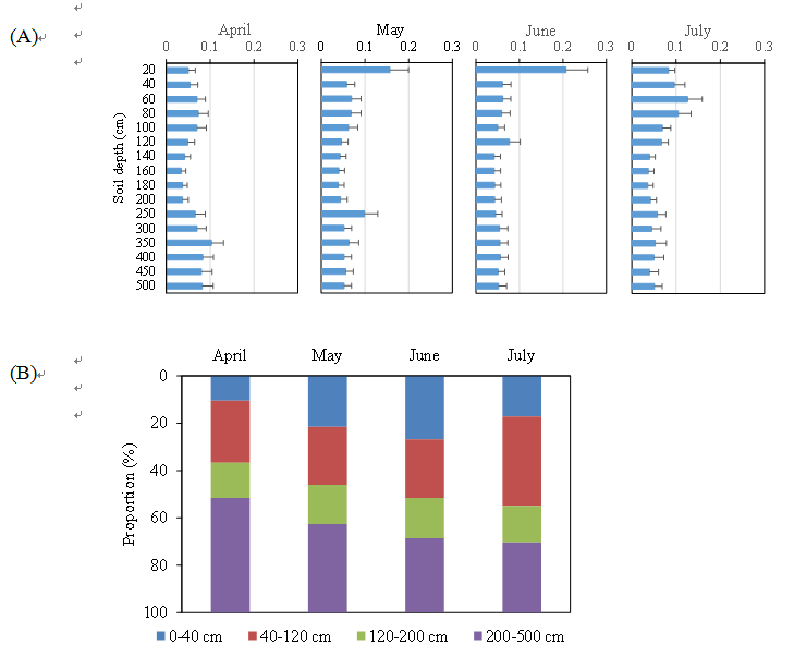
研究发现,刺槐在过渡期表现出明显的水分利用转变模式。4月,刺槐利用40-120 cm和200-500 cm土层的比例分别为26.2%和48.4%;5月,刺槐吸收0-40、40-120、200-500 cm土层的比例分别为21.5%、24.5%、37.4%;6月和7月分别有51.6%和53.6%的水分主要来自于0-120cm土层。因此,在旱季,刺槐主要吸收深层土壤水分(200-500 cm),随着雨季的来临,刺槐利用0-40 cm和40-120 cm土壤水分的比例增加。综合考虑土壤水分动态变化、根系分布特征和气象要素,能够很好的解释刺槐在旱季向雨季过渡时期的吸水特征与机制。
该研究深化了旱季向雨季过渡期土壤干层中水分有效性、低含水量下植物耗水策略的科学认知,对黄土高原有限水资源管理以及人工林优化配置具有一定参考意义。
该成果近期在线发表于国际林学期刊《Forest Ecology and Management》,研究工作得到国家自然科学基金项目和国家人才计划青年拔尖人才项目等的共同资助。
链接:https://doi.org/10.1016/j.foreco.2019.117727

图1 刺槐在不同月份利用不同剖面土壤水分比例(A)和对4个土层深度的吸收比例(B)。
附件下载: