地环所研究揭示青藏高原动力和热力作用对亚洲干旱区和季风区降水影响的差异

  青藏高原(以下简称高原)不仅以其巨大的体积对大气环流产生显著的机械阻档作用,而且作为一个被抬高的热源也具有强烈的热力作用,从而对其周边的降水分布带来了深刻的影响。然而,长期以来有关高原动力和热力作用对亚洲内陆干旱区和季风区降水影响的差异及其相对贡献并不完全清楚。

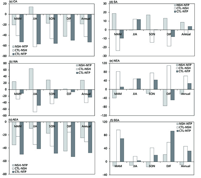
  最近,中科院地球环境研究所孙辉博士和刘晓东研究员利用全球季风模式比较计划(GMMIP)提供的数值试验结果系统评估了高原动力和热力作用对亚洲不同气候区降水的影响。基于自然资源部第一海洋研究所地球系统模式FIO-ESM模拟的控制试验(CTL)、无高原试验(NTP)和有高原地形但去除高原感热释放试验(NSH)的分析表明,高原动力和热力作用对亚洲干旱区和季风区降水的影响具有显著的区域和季节差异(1)。就亚洲干旱区而言,东亚干旱区的干旱化主要是由于高原动力效应通过阻档西风环流造成的,而中亚地区的干旱化主要是由于热力效应通过高原加热引起的补偿性下沉气流所致。高原动力和热力作用对上述两个干旱区降水抑制表现出明显的季节差异,冬春降水减少主要取决于动力效应,而夏秋降水减少主要取决于热力效应。此外,高原热力效应通过引起补偿性下沉气流对西亚地区的干旱化也起着决定性作用。就亚洲季风区而言,高原热力作用对南亚降水的影响有两方面:一是通过增强夏季季风来增加夏季降水,二是高原引起的下沉气流抑制了非季风期降水,因此南亚地区降水仅在夏季因季风增强而增加,其它季节则因补偿下沉而减少。高原对东亚季风降水的控制比南亚季风更为显著。高原热力作用引起的夏季风增强贡献了东亚夏季降水增加的40%,而动力作用对冬季降水的减少贡献了80%。由于高原动力作用能在东亚北部地区形成异常的东北风并可影响到华南,因此高原动力作用有助于增加东亚南部季风区锋面降水。这些结果有助于深入理解新生代青藏高原隆升过程中高原周边地区干湿气候的区域演化和分异。

   

  青藏高原动力作用(Exp. NSH - Exp. NTP)、热力作用(Exp. CTL - Exp. NSH)和两者共同作用(Exp. CTL - Exp. NTP)引起的亚洲不同区域季节和年降水量的相对变化(%)

  a)中亚,b)西亚,c)东亚内陆,d)南亚季风区,e)东亚北部季风区,f)东亚南部季风区

  该项研究成果发表在Climate DynamicsSun, H., Liu, X. Impacts of dynamic and thermal forcing by the Tibetan Plateau on the precipitation distribution in the Asian arid and monsoon regions. Clim Dyn (2021). https://doi.org/10.1007/s00382-020-05593-9

   

  

   

  


附件下载: