中科院地球环境研究所通过石笋氧同位素揭示我国中部过去百年降水季节性变化
最近,中国科学院地球环境研究所谭亮成研究员课题组对秦岭南部祥龙洞高分辨率(~0.16年)的年纹层石笋δ18O序列进行了研究,评估了δ18O季节变化幅度(年循环内最正值与最负值的差异)作为降水季节性变化指标的潜力。基于此重建了过去百年我国中部地区的降水季节性变化序列,讨论了太平洋年代际涛动(PDO)对降水季节性的可能影响。主要取得以下几点认识:
(1)受降水氧同位素以及洞穴温度的影响,石笋δ18O呈现显著的季节变化(图1)。在夏季风时期(5-10月),石笋δ18O值偏负,并与白色疏松层相对应。相反,在非夏季风时期(11-次年4月),石笋δ18O值偏正,与暗色致密层相对应。其年循环内最正值与最负值的差异(Δ18O)则反映了气候的季节性变化。
图1: (A)祥龙洞石笋XL21的δ18O序列,蓝点与红点分别代表年旋回内最负值与最正值.(B)δ18O年旋回放大图.
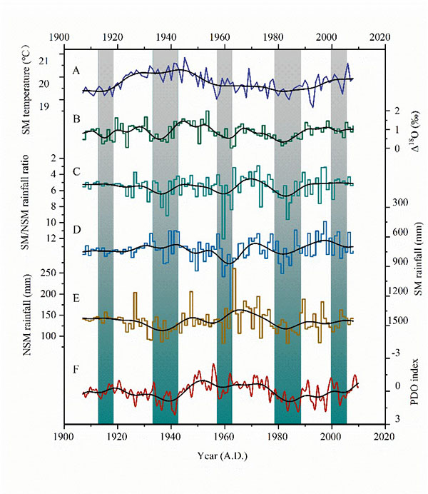
(2)通过与器测资料对比,发现Δ18O与夏季风与非夏季风降雨量比值(SM/NSM rainfall ratio)呈显著负相关(图2),进一步证实Δ18O是重建降水季节性变化的可靠指标。两者之间的负相关关系可能受控于洞穴补给机制,在此洞穴补给模型中,XL21主要由SM降雨补给(图3)。在夏季风时期,石笋δ18O主要受SM降水δ18O影响,逐渐偏负。而在非夏季风时期,SM降水储存在上覆蓄水池与NSM降水一起维持洞穴滴水(图3)。因此,当SM降雨量越多时,δ18O最负值和最正值都越小。但是,在NSM时期,随着具有偏正δ18O特征的NSM降雨的加入,其相对SM降雨比例的增加导致δ18O最正值相应增大,这将导致Δ18O的增加,造成Δ18O与SM/NSM降雨量的负相关关系。

图2:Δ18O(B)序列与其他器测资料的对比
(3)Δ18O与 PDO具有很好的对应关系(图2),在PDO暖(冷)相位,我国中部夏季风降水增多(减少),非夏季风降水减少(增加),导致夏季风与非夏季风降水比值增加(减少),Δ18O值降低(增加)。揭示我国中部地区降水季节性变化受年代际海气相互作用影响显著,凸显多尺度气候变化研究的重要性。
图3:石笋XL21的概念补给模型
该研究揭示高分辨率石笋在重建地质时期降水季节性变化的潜力,有助于深入理解我国中部降水季节变化特征、规律及驱动机制。研究成果做为Invited Research Article近日发表在《Palaeogeography, Palaeoclimatology, Palaeoecology》上。论文第一作者为博士生林方园,通讯作者为谭亮成。研究得到国家自然科学基金委员会重大项目课题(41991252)和中国科学院战略性先导科技专项(XDB40000000)的联合资助。
全文详见:Fangyuan Lin, Liangcheng Tan*, Gang Xue, Xing Cheng, Haiwei Zhang, Hai Cheng, R. Lawrence Edwards, Tianli Wang, Dong Li, Yongli Gao, Zhisheng An. Seasonality of precipitation recorded in a modern (1907-2008) annually laminated stalagmite from central China. Palaeogeography, Palaeoclimatology, Palaeoecology, 2021, 576:110489. https://doi.org/10.1016/j.palaeo.2021.110489
附件下载: