地球环境研究所在黄土高原长期植树造林对小流域土壤pH变化影响方面取得进展

  土壤pH是控制地球关键带中生物和水文地球化学循环、微生物群落和养分形态的最基本化学参数。从全球来看,目前全球土壤正处于从碱基阳离子(Ca2+, Mg2+ and K+))到非碱基阳离子(Mn2+and Al3+)的缓冲过渡时期。在中国,土壤酸化现象也普遍发生于农田、森林和草地生态系统。因此,土壤pH的变化不仅是全球陆地生态系统的一个主要问题,而且影响到地球关键带的过程和功能,但目前我们对这一过程的理解还远远不够。
  土壤pH变化受众多环境因素的影响。从全球尺度看,气候是影响土壤pH的第一环境要素。如果年降雨量低于潜在蒸散量,气候干燥,土壤淋溶速率低,土壤中可溶性钙离子沉积,土壤呈碱性。植被是影响土壤pH的第二环境要素。不同植被种类和植物群落能够形成不同的土壤生物、物理和化学性质,因此具有不同的阳离子交换量,最终影响土壤pH。此外,土地利用/覆被变化、地形地貌、矿物属性、氮肥过量施用、大气氮沉降等,都是影响土壤pH的重要环境因素。
  植树造林作为恢复退化生态系统的一种有效措施,在保持全球水土资源、调节气候和控制大气CO2浓度方面发挥着重要作用。然而,众多研究表明,植树造林通过改变土壤阴阳离子的平衡,显著影响到土壤pH。例如,美国杜克大学的一项全球综合分析表明,植树造林在全球范围内平均降低了约29%的土壤钙离子浓度,使得全球土壤pH降低了0.3个单位。北京大学的一项研究也表明,中国北方植树造林起到中和土壤pH的作用,即在相对碱性土壤中降低pH,而在相对酸性土壤中升高pH。然而,几乎前期所有的研究都在点尺度或区域尺度开展,很少有研究在小流域尺度开展。从地球关键带的视角而言,小流域是最基本的研究单元,并且只有在流域尺度才能将地形和水文的耦合影响真正考虑进去。因此,从小流域尺度研究植树造林对土壤pH变化的影响,能够更为深入地探讨植被变化、地形地貌和水文对土壤pH的控制作用。
  基于上述科学问题,中国科学院地球环境研究所金钊研究员团队选择甘肃西峰南小河沟观测场的植被自然恢复(董庄沟)和人工植树造林(杨家沟)小流域为研究对象,探讨和植被自然恢复小流域相比,人工植树造林小流域土壤pH的变化。本研究采用空间K均值布点的方法,每条小流域设置280个取样点,其中0-100 cm深度取样点100个,0-20 cm表层土壤取样点150个,0-100 cm土壤剖面30个(图1)。
  
  图1植被自然恢复和人工植树造林小流域分布图及K均值空间布点采样方案
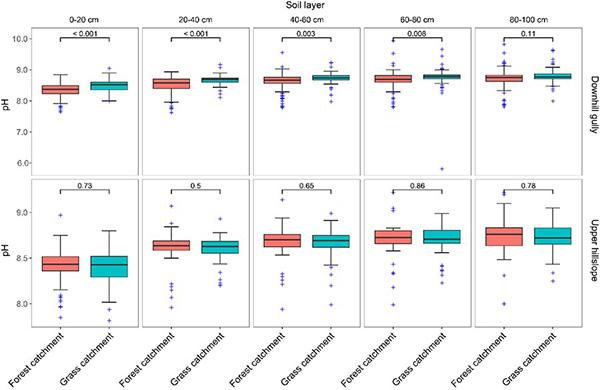
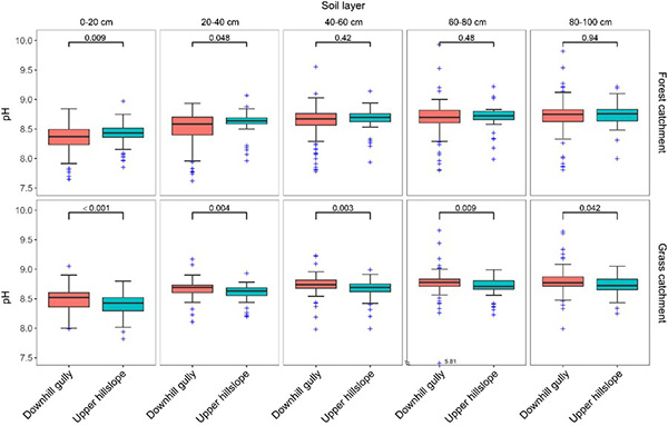
  研究结果表明,长期植树造林(1954年至今)显著降低了下坡沟谷的土壤pH(0-80 cm深度),降低范围为-0.02--0.15个单位(图2)。在上部坡面,植树造林对土壤pH无显著影响。在植树造林小流域,沟谷坡面土壤pH降低与土壤全氮和有机碳含量呈显著的线性负相关关系。此外,流域微地形对土壤pH有显著影响。在植树造林流域,下部沟谷土壤pH显著低于上部坡面,而自然恢复小流域正好相反(图3)。植树造林小流域下部沟谷密集分布的森林和林下植被,使得养分物质聚集,土壤酸化作用更为显著,从而使得植树造林流域下部沟谷土壤pH低于上部坡面;而植被自然恢复小流域下部沟谷频繁发生的重力侵蚀为坡面带来新鲜的碱性黄土物质,使得下部沟谷土壤pH高于上部剖面(图4)。上述研究结果为深入理解植树造林和微地形对流域土壤pH的影响及相关的地球关键带过程提供了新认识。
  
  图2 植被自然恢复和人工植树造林小流域之间土壤pH的差异
   
  图3 植被自然恢复和人工植树造林小流域内部不同地形间土壤pH的差异
  
  图4 植树造林(森林)和自然恢复(草地)小流域微地形对土壤pH影响的机制
  上述研究成果于2021年12月发表在国际生态工程期刊《Ecological Engineering》。本研究得中国科学院先导B项目(XDB40000000)、国家自然科学基金重大项目 (41790444) 和国家重点研发计划项目 (2018YFC1504701)的资助。
  Jin Zhao, Luo Da, Yu Yunlong, Yang Siqi, Zhang Jing, Cao Guofan. Soil pH changes in a small catchment on the Chinese Loess Plateau after long-term vegetation rehabilitation. Ecological Engineering, 2022, 175, 106503

附件下载: