地球环境研究所在黄土高原自然和人为植被恢复小流域土壤水分和养分对草本植物群落功能性状和物种多样性的调控机制方面取得进展
植被恢复是修复生态系统的一种重要手段。近40年来,中国实施了一系列的植被恢复和重建工程,在防治沙漠化、控制土地退化和提高植物多样性方面发挥了重要作用。黄土高原是我国典型的生态脆弱区和生态-气候过渡带。为了控制水土流失;阻止土地退化和恢复生态系统健康,近几十年来黄土高原实施了大规模的植被恢复和重建工程。经过持续的努力,黄土高原的生态条件发生了翻天覆地的变化,植被覆盖度显著提高,高原地表实现了由“黄”到“绿”的转变。
在植被恢复模式上,自然恢复是一种时间相对较长的恢复过程,一般不能在短时间内为水土保持创造显著效益。相比之下,为了获得相对快速的恢复效果,很多地方优先选择人工植树造林作为加快生态系统恢复的方法。例如刺槐的引进和在中国各地尤其是干旱半干旱地区的广泛种植,就是加快人工植被恢复和重建的一个典型例子。一般认为,刺槐可以快速控制土壤侵蚀,增加植被覆盖度,改善表层土壤理化性质。然而,从相对长期恢复的角度来看,干旱半干旱区高密度人工造林具有不可持续性。人工造林不但会消耗过多的水分,减少地表水资源,也会对群落物种的功能和多样性产生很多负面影响。然而,目前有关半干旱地区人工造林对林下植被的功能性状和生物多样性的影响模式和控制因子尚不清楚,而这些信息对制定植被恢复策略尤为重要。
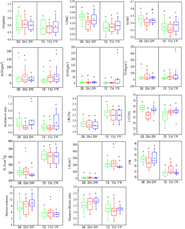
基于上述科学问题,中国科学院地球环境研究所金钊研究员团队以甘肃西峰南小河沟观测场的人工植树造林(杨家沟)和植被自然恢复(董庄沟)小流域为研究对象(图1),探讨半干旱黄土区自然和人为植被恢复模式下草本植物群落性状和物种多样性模式的差异以及导致这种差异的环境因素。研究结果表明,自然和人为植被恢复模式下草本植物群落功能性状存在显著差异,且自然恢复下的草本植物多样性显著高于人工植树造林。两流域间土壤水分、硝态氮和速效磷含量的差异是导致草本群落功能性状和多样性差异的主要原因(图2,图3)。与水分相关的功能性状在坡面和沟谷表现出不同的模式,特别是在自然恢复的小流域,这可能是由两种地形下土壤水分的差异导致。本研究结果有助于我们更好地了解黄土高原植被自然恢复和人工植树造林模式下草本植物群落的多样性格局,同时为黄土高原植被恢复措施的选择提供了有意义的判断。
上述研究成果于2021年11月发表在国际林学类一区TOP期刊《Forest Ecology and Management》。本研究得中国科学院先导B项目(XDB40000000)、国家自然科学基金重大项目 (41790444)、国家重点研发项目(2017YFD0800502)、 中国博士后科学基金项目(2018 M643715)和陕西省科技计划项目(2020JQ-580)的资助。
文章链接:
https://www.sciencedirect.com/science/article/pii/S0378112721010161
Dang Han, Li Jiahao, Xu Jinshi, Chu Guangchen, Zhang Jing, Yu Yunlong, Jin Zhao. Differences in soil water and nutrients under catchment afforestation and natural restoration shape herbaceous communities on the Chinese Loess Plateau. Forest Ecology and Management, 2022,505, 119925

图1 人工造林和自然恢复流域的植被现状
图2 人工植树造林与植被自然恢复小流域不同坡向草本植被的功能性状及多样性模式
图3 人工植树造林与植被自然恢复小流域土壤性状与功能性状/多样性模式的线性关系
附件下载: