地球环境研究所在黄土高原恢复草地土壤有机碳固存方面取得研究进展

  自1999年以来我国实施了一系列大规模的植被恢复和重建工程,在防治沙漠化、控制土地退化提高植物多样性和碳储量方面发挥了重要作用。黄土高原是我国典型的生态脆弱区为了控制水土流失和防止土地退化该区域实施了大规模的植被恢复工程黄土高原草地生态环境有所改善,植被覆盖度显著提高,碳汇能力显著提高。

  作为生物地球化学循环的“引擎”,土壤微生物在调节土壤肥力、植物生长和气候变化等方面起着关键作用。特别是,作为土壤稳定碳库的重要组成部分,微生物残体碳占土壤有机碳的比例可达50%以上。因此,植物与微生物残体是土壤有机碳的主要来源,二者在土壤中的积累直接影响着土壤碳库的动态变化。然而,由于分析手段的限制,植物微生物残体土壤有机碳贡献不清楚,在近几年引起了较大的学术争议。黄土高原草地恢复造成有机碳的大量累积,然而,在黄土高原恢复草地,植物源和微生物源碳对有机碳累积的相对重要性仍然是一个有待解决的问题。

  中科院地球环境研究所王云强团队杨阳副研究员联合俄罗斯秋明州立大学俄罗斯喀山联邦大学德国哥廷根大学、西北农林科技大学、中科院沈阳应用生态研究所等多家科研单位,首先建立了黄土高原草地恢复过程中植物和微生物残体碳对有机碳贡献的概念图(图1),以氨基糖和木质素酚为生物标志物,研究黄土高原草地恢复过程中土壤微生物和植物残体碳对土壤有机碳的贡献

   

  图1 黄土高原草地恢复过程中植物和微生物残体碳对有机碳贡献的概念图

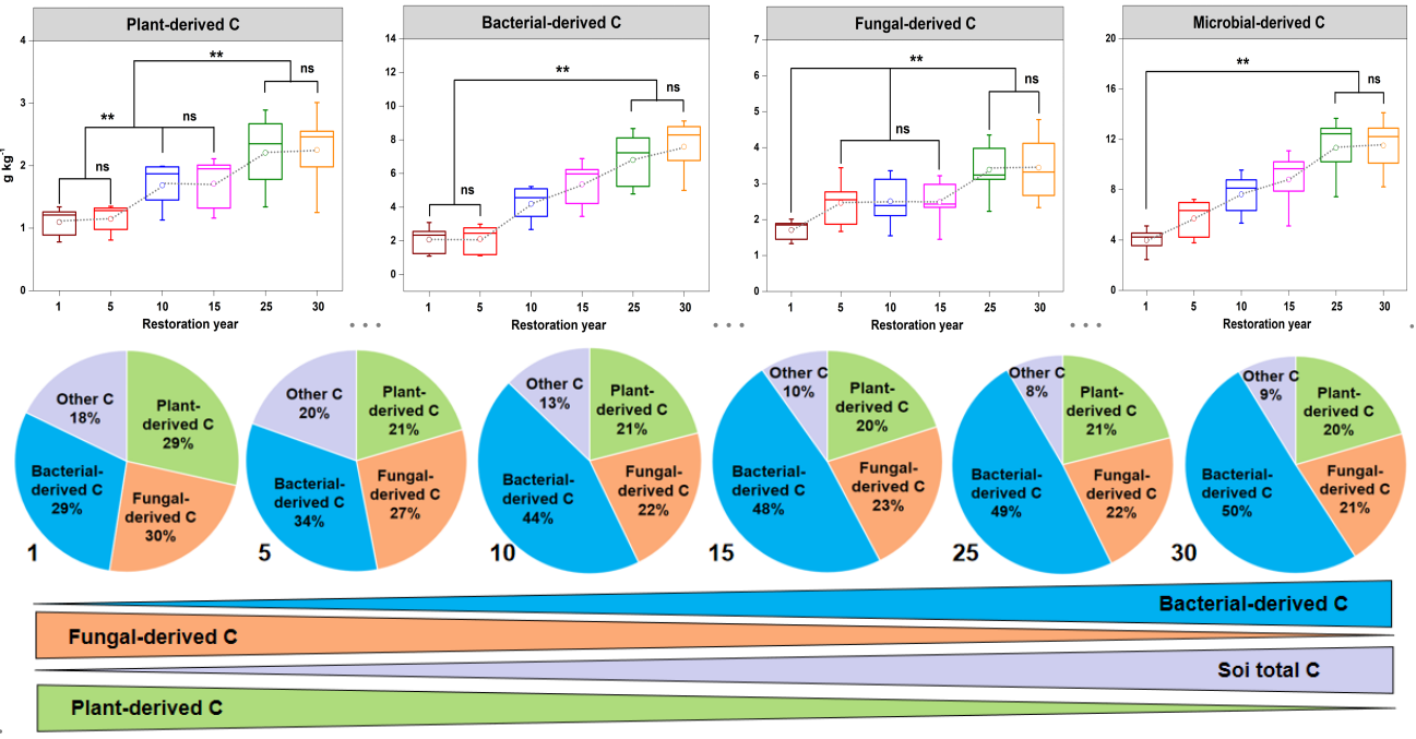
  结果表明,微生物源碳(4.9 ~ 13 g kg-1)对有机碳的贡献远大于植物源碳(1.3 ~ 2.3 g kg-1),证实了微生物残体是土壤有机碳的主要来源。在草地恢复初期(< 15 a),以植物源性C积累较多;而在草地恢复后期(> 15 a),微生物源性C积累较多,植物源性C积累较少(图2)。随着草地的恢复,细菌源C对有机碳的贡献从29%逐渐增加到50%,真菌源C对有机碳的贡献从30%下降到21%,由此表明:微生物残体对土壤有机碳的贡献可能由真菌和细菌残留主导向细菌残留主导的转变。相关分析和随机森林分析表明,地下生物量、土壤pH和微生物量C是植物源C的主要影响因素;然而,微生物源C主要受土壤微生物生物量、土壤pH和溶解有机C的影响(图3)。总体来看,黄土高原草地恢复主要是通过微生物残体(主要是细菌残体)的形式增加土壤有机碳的固存,并受到环境因子和植物C输入的影响。

   

  图2 植物源C、细菌源C、真菌源C和微生物源C随草地恢复年限变化

   

  该成果近期发表在国际期刊Soil Biology and Biochemistry。该研究工作得到了国家自然科学基金、国重培育项目、中科院西部之光等项目的资助。

  相关文章链接

  https://www.sciencedirect.com/science/article/pii/S0038071722001456?dgcid=coauthor

  Yang Yang, Yanxing Dou, Baorong Wang, Yunqiang Wang*, Chao Liang, Shaoshan An*, Andrey Soromotin, Yakov Kuzyakov. (2022). Increasing contribution from microbial residues to soil organic carbon in grassland restoration chrono-sequence. Soil Biology and Biochemistry. 108688. https://doi.org/10.1016/j.soilbio.2022.108688


附件下载: