地环所提出黄土高原生态环境可持续发展建议

        半干旱地区的生态环境对气候变化和人类活动极为敏感和脆弱,如何实现半干旱地区生态环境可持续发展是人类社会持续关注的热点问题。中国黄土高原位于全球半干旱地区,是中华文明的主要发祥地,该区生态环境演变长期受气候变化和人类活动共同影响,为理解人类活动与生态环境之间的相互关系提供了理想的研究区域。本研究在系统梳理农业文明以来黄土高原植被覆盖、土壤侵蚀、黄河泥沙和洪涝灾害等生态环境事件以及人口、社会经济等人类活动演变特征的基础上,讨论了黄土高原人类活动与生态环境演变的相互关系,总结了生态环境退化和改善的经验与教训,指出了当前黄土高原生态环境建设面临的主要问题,提出了多目标协同发展的黄土高原生态环境可持续发展建议,也为世界其他半干旱地区生态环境可持续管理提供科学借鉴。

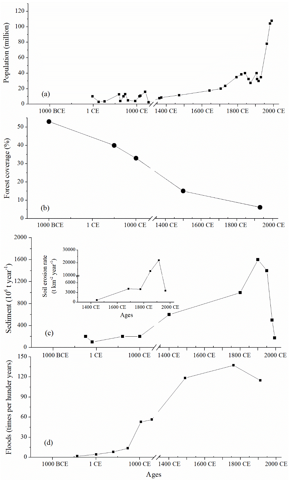
  研究发现,从西周到唐宋期间黄土高原的森林覆盖度从53%下降至33%,但这一时期黄土高原总人口一直在1000万左右波动,年入黄泥沙量也维持在2亿吨左右,黄河泛滥次数每百年不超过15次,黄土高原人类活动并未超过其生态环境承受阈值;唐宋以后,黄土高原的人口数量快速增加,至新中国成立前该区人口数量增加至4000万,与此相对应,该区森林覆盖面积下降至6.1%,而年入黄泥沙量则增加至10亿吨,黄河泛滥次数每百年达137次,黄土高原生态环境遭受严重破坏;新中国成立以来,尽管黄土高原人口数量激增至1亿,但通过对黄土高原水土流失的不懈治理,该区土壤侵蚀得到明显控制,至2010年代,植被覆盖率增加至60%左右,而入黄泥沙则下降到2亿吨左右,黄土高原生态环境显著改善。然而,新时期黄土高原生态环境可持续发展面临水资源短缺、粮食安全、城市发展和能源资源过度开发等新的矛盾,为此提出黄土高原生态环境—资源能源—社会经济等多目标协同发展建议,通过增强人类活动对生态环境的正向干预,合理配置利用区域水资源、发展绿色生态高质经济、加强科学技术研究与推广示范等举措促进黄土高原生态环境可持续发展。

   

  图1 近3000年黄土高原人口数量、森林覆盖率、土壤侵蚀速率及黄河泥沙量、洪水频次演变特征

   

  图2 黄土高原生态环境演变及可持续发展框架图

  研究结果以“Sustainability of eco-environment in semi-arid regions: Lessons from the Chinese Loess Plateau”为题发表于国际著名学术期刊Environmental Science & Policy,本研究受到国家自然科学基金 (42041005和41671511) ,中国科学院西部之光“青年人才”项目(XAB2018A01)的资助。

论文详情:Kaibo Wang, Lei Deng, Zhouping Shangguan, Yiping Chen, Xin Lin, Sustainability of eco-environment in semi-arid regions: Lessons from the Chinese Loess Plateau, Environmental Science & Policy, 2021. 125: 126-134.

https://doi.org/10.1016/j.envsci.2021.08.025


附件下载: