地球环境研究所在气流运动对不同源黑碳气溶胶浓度及其辐射效应的影响研究方面取得进展

  河谷地形复杂,对大气污染和气流运动有较大影响。河谷城市的大气污染不仅受区域尺度气流影响,而且也受到局域尺度动力学影响。污染物易聚集在山谷底部,并扩散到整个地区,从而加重河谷城市的大气污染程度。目前,缺乏针对不同尺度气流运动对黑碳气溶胶辐射效应影响的研究,造成区域气候效应影响因素的认识不足。

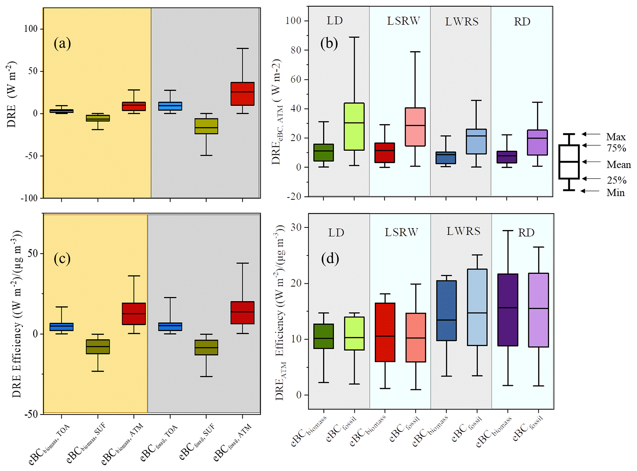
  因此,为了解不同尺度气流运动对黑碳气溶胶质量浓度和直接辐射强迫的影响,本课题组在典型的河谷城市宝鸡进行了高时间分辨率的外场观测,通过自组织映射(SOM)对观测期间的气流运动进行了特征分类,并分析了四种情况下黑碳气溶胶的浓度变化和直接辐射效率。结果表明,本地气流主导下的污染明显高于其他情况。通过计算不同尺度气流影响下黑碳气溶胶的辐射效应,发现虽然本地气流主导时宝鸡黑碳气溶胶产生的直接辐射效应强于区域主导的情况,但是辐射效率在区域主导情况下是本地气流主导下的~1.5倍。本研究还表明,黑碳气溶胶的远距离传输对下风向地区的辐射平衡有着重要的扰动,并指出黑碳气溶胶的区域输送对气候的潜在影响值得关注。

  该成果已发表在Atmospheric Chemistry and Physics期刊上,研究得到国家自然科学基金(42192512)、陕西省重点研发项目(2018-ZDXM3-01)等项目的联合资助。

  文章详见:Liu H., Wang Q.*, Liu S., Zhou B., Qu Y, Tian J., Zhang T., Han Y., and Cao J.*, The impact of atmospheric motions on source-specific black carbon and the induced direct radiative effects over a river-valley region, Atmos. Chem. Phys., 22, 1173911757, 2022.

  论文连接: https://doi.org/10.5194/acp-22-11739-2022.

   

  1 四种气流类别下75th-100th分位的化石燃料eBC(a)和生物质eBC(b)的质量浓度随标量传播距离和气流循环因子改变的分布。灰色高亮区域气流流通良好的情况,黄色高亮为气流趋于静止的情况。

   

  2 (a)(c)为生物质eBC和化石燃料eBC的直接辐射效应。(b)(d)为四种气流分类下生物质eBC和化石燃料eBC产生的直接辐射效应和直接辐射效率。


附件下载: