地球环境研究所合成新型金属氧化物实现宽温度范围降解空气中甲苯

  挥发性有机物(VOCs)是大气中二次有机气溶胶和臭氧的重要前体物质,对环境质量和人体健康有潜在危害。其中,甲苯作为一种典型的芳香性VOCs污染物,其结构稳定、来源广泛。热催化氧化技术作为消除工业源甲苯污染的有效途径,可在一定温度(约200~400℃)下将甲苯完全氧化降解。然而,不同行业排放的甲苯废气温度差异较大,且催化剂在不同反应温度下遵循不同的作用机制。因此,在宽温度范围内实现甲苯的高效降解,是催化材料合成创新面临的一大挑战。

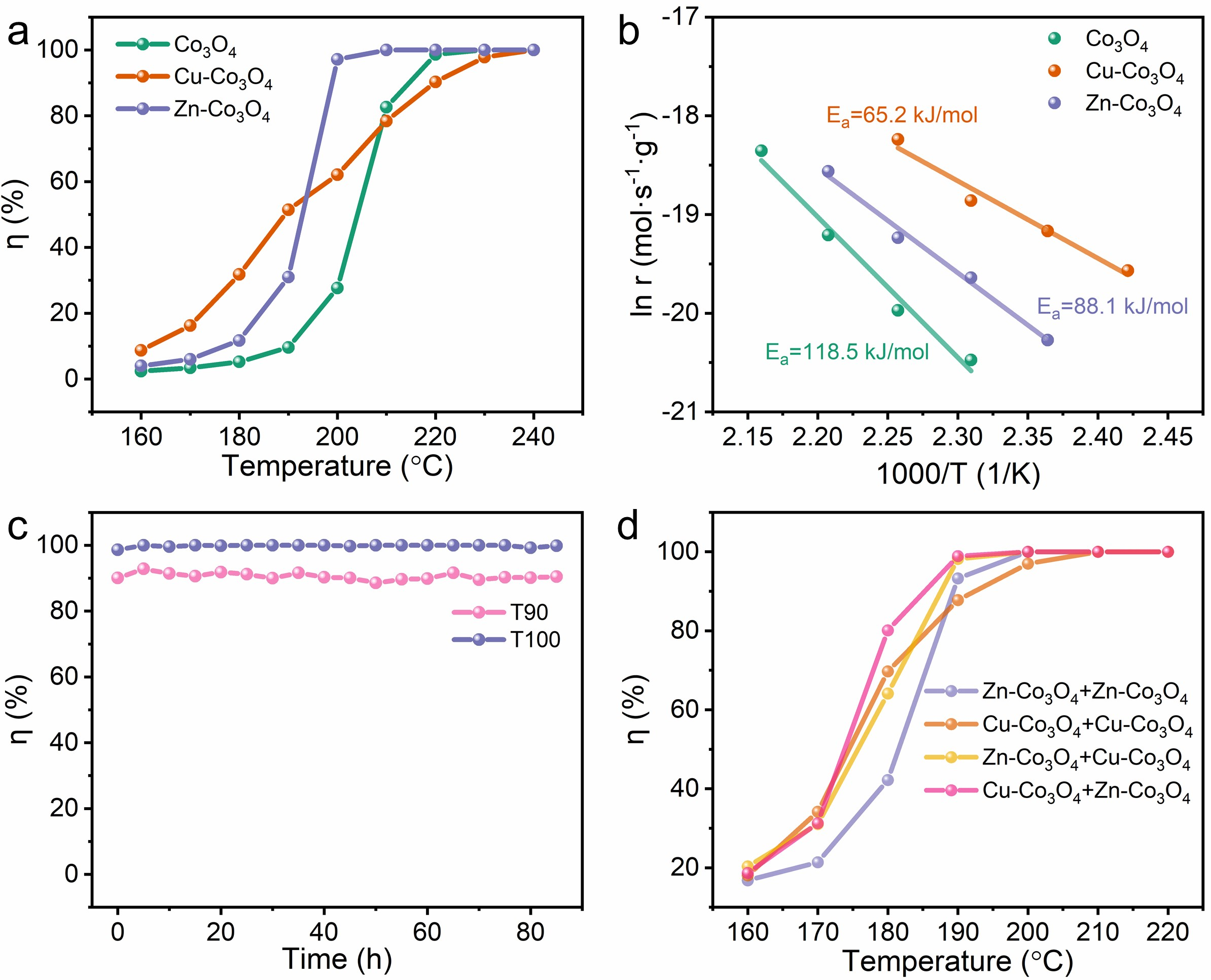
  近期,中国科学院地球环境研究所黄宇研究员团队提出了一种全新的搅拌辅助-熔融盐策略,同步实现超薄二维钴氧化物催化剂(2DCo3O4)的制备及CuZn原子的精确定位掺杂(图1),不同金属的掺杂在特定温度区间内显著增强了对甲苯的催化氧化性能,并通过简便的串联设计,在较宽温度范围内(T50=174T90=185)展现出良好的甲苯催化氧化性能(图2)。材料表征结果显示,掺杂Cu显著促进氧空位的形成,增强低温下活性氧物种的生成,改善低反应温度下的催化活性。而掺杂Zn提高表面Co3+活性位点的比例,并增强其连接Co3+活性位点的晶格氧活性,显著提升在高反应温度下的催化甲苯活性(图3)。机理研究揭示了这两种金属掺杂在特定温度区间的不同作用机制,显示反应中间物种的快速消耗是催化性能提升的主要原因。这项工作提出了一种全新的2DCo3O4制备及金属掺杂策略,并在原子水平为反应机制导向的活性位点设计提供了新思路。

  相关成果发表于Environment Science & Technology期刊上,黄宇研究员、熊宇杰教授为通讯作者,博士研究生李荣为第一作者。该工作受国家自然科学基金(5220013721725102)、中国科学院战略重点研究项目(XDA23010300XDA23010000)的共同资助。

  文章链接:https://pubs.acs.org/doi/10.1021/acs.est.3c03617

   

  1. CuZn掺杂2DCo3O4的熔融盐制备策略及其微观形貌

   

  2. CuZn掺杂2DCo3O4的催化氧化甲苯性能

   

  3. CuZn掺杂的2DCo3O4的活性位点表征


附件下载: