地球环境研究所环境放射性团队在ES&T上发表封面文章:化石源燃料对大气碘的贡献
碘对于人体健康至关重要,陆地环境中碘的多寡是决定碘缺乏症患病率的一个关键因素。由于冬季海洋碘输入减少,内陆大气碘的主要来源可能会从海洋转变为其他源的释放——这将进一步影响内陆地表环境的碘含量。然而,其具体来源组成如何?在多大程度上受到人类活动的影响?这些科学问题仍缺乏明确答案。
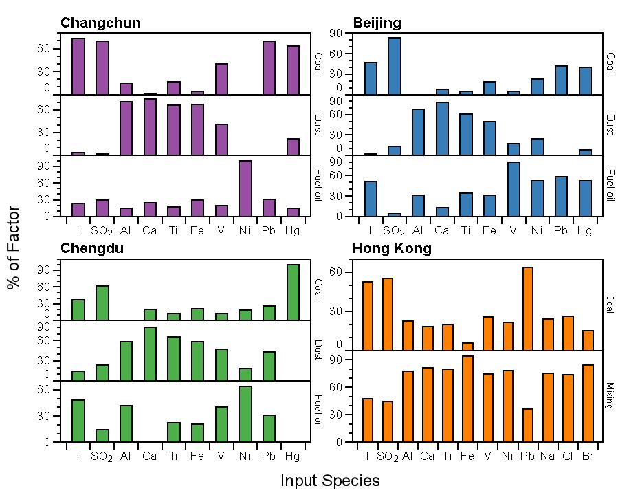
为此,地球环境研究所范煜坤副研究员与合作作者通过对长春、北京、成都和香港等四大城市冬季大气细颗粒物(PM2.5)进行多指标分析,研究了内陆大气碘的潜在来源与贡献。他们使用正定因子矩阵模型对119个PM2.5样品中的总碘以及元素含量进行了拟合分析,解译出粉尘、燃煤、燃油等源谱(图1)。煤和石油形成于上百万至亿年的古老地质时期,由于129I衰变而具有低129I/127I特征;粉尘暴露于地表并参与复杂的地表过程,携带有人类核活动释放的高水平129I/127I特征。为了验证所获源谱的合理性,他们利用这些端元碘同位素组成之间的差异,分析获得了不同来源的贡献比例与PM2.5中129I/127I比值的相关性(图2)。研究发现,当燃煤和燃油等化石源燃料贡献增加时,129I/127I下降;当粉尘贡献增加时,129I/127I升高。碘同位素与不同源贡献比例之间的耦合变化与来源的端元值完美契合。源解析进一步揭示了燃煤、燃油对冬季内陆大气碘的主导贡献(>85%),并首次提出人类对石油的使用是除燃煤以外大气碘的另一主要来源(图3)。该研究为回答与碘缺乏有关的健康问题提供了重要科学认识,并为理解与大气碘密切相关的平流层臭氧消耗现象提供了新视角。

图1 基于PMF模型的长春、北京、成都和香港PM2.5中碘的源谱特征

图2 四城市PM2.5中129I/127I比值与各碘源贡献比例相关性(左)及贡献占比(右)

图3 四城市PM2.5中各主要碘源的贡献占比
图4 文章封面
该成果近期发表在中国科学院一区SCI Top期刊Environmental Science & Technology(IF: 11.4)上,并被邀请为封面文章(Supplementary Cover)。范煜坤副研究员为第一作者和通讯作者,侯小琳研究员为共同通讯作者。该研究得到国家自然科学基金(42273027,42177095)、中科院先导项目(XDB40000000)、西部之光项目(XAB2020YN02)、中国科学院青年创新促进会项目的联合资助。
论文链接:https://doi.org/10.1021/acs.est.3c05075
Yukun Fan, Hongmei Xu, Xiaolin Hou, Weijian Zhou, Luyuan Zhang, and Ning Chen. Isotopic Evidence Unveils Fossil Fuels Contribution to Atmospheric Iodine. Environmental Science & Technology 2023 57 (49), 20773-20780. DOI: 10.1021/acs.est.3c05075
附件下载: