地球环境研究所探索开展石笋中汞的研究
汞(Hg)是一种持久性污染物,因其对人类和其他生物的毒性作用而受到广泛关注。无论是自然过程(如火山喷发、地热活动、岩石风化、植被、陆地和水体的再排放)还是人类活动(如金和汞的开采、生物质和煤炭燃烧等),都可以将汞释放到大气中,然后通过大气干湿沉降和植物吸收将其输送到陆地和水体中。深入认识不同时间尺度汞(Hg)的传输和沉积过程及其与气候环境的关系,对于更好的理解人类世下全球Hg循环非常重要。
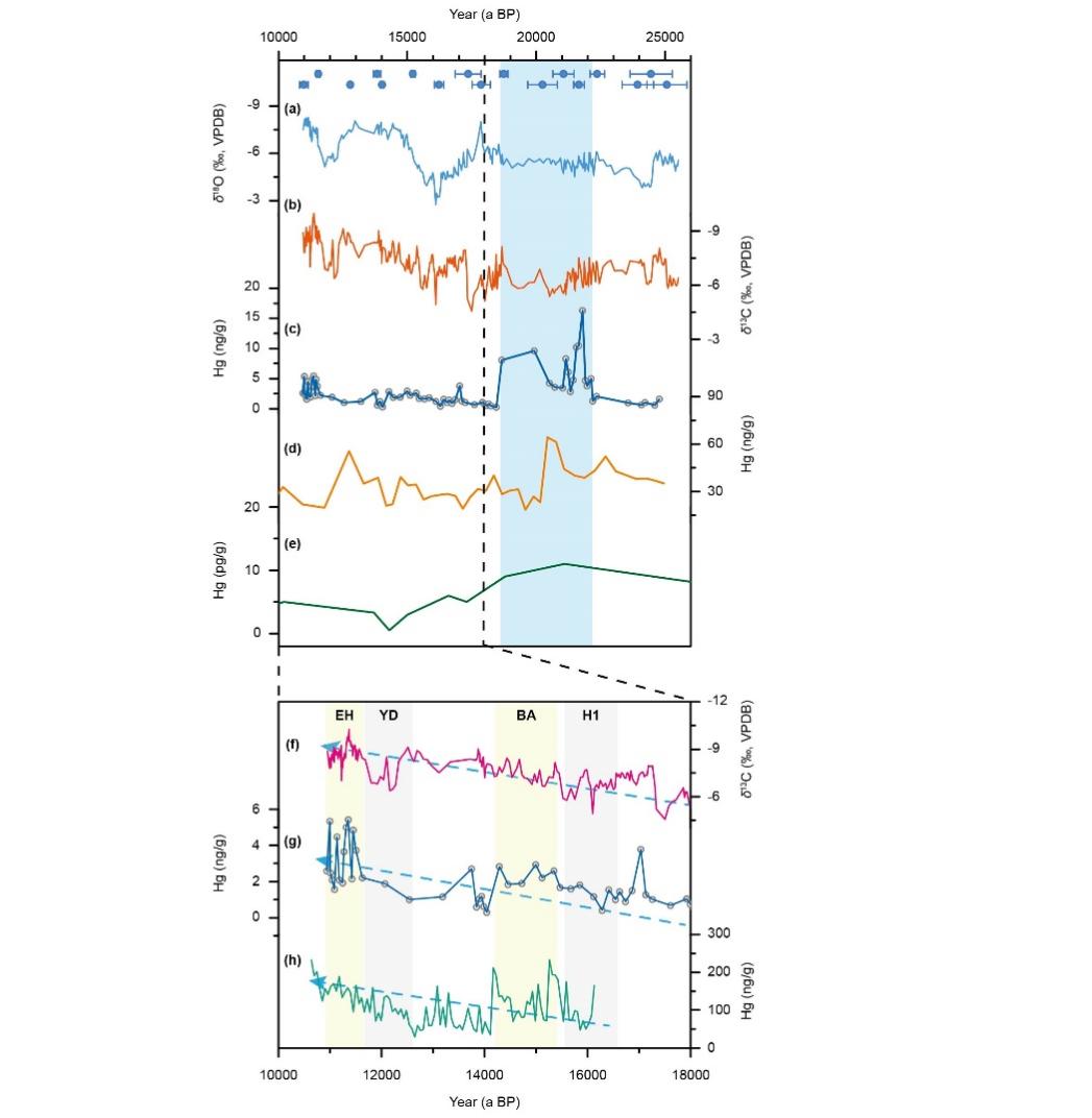
以往对地质历史时期的Hg研究主要基于海洋和湖沼沉积物、冰心等载体开展。石笋具有测年准确、分辨率高、沉积连续、沉积后次生变化小等优点,是重建过去环境变化的理想档案。中国科学院地球环境研究所极端气候事件及影响(EXCEIS)团队谭亮成研究员等利用中国中部一根时间跨度为25.5-10.9 ka的石笋探索性的进行了Hg的研究。研究结果显示,石笋Hg含量在末次冰盛期时显著增加,和黄土高原粉尘堆积速率的高峰期一致。在Heinrich 事件1和2以及Younger Dryas事件时,石笋的Hg含量较低,而在Bølling-Allerød以及早全新世时较高(图1)。

图1. (a)中国中部祥龙洞石笋XL15的δ18O、(b) δ13C和(c)汞浓度变化及其与(d)热带南大西洋西部沉积物和(e)南极冰芯中汞浓度的比较。(f)-(h)为18 ~10.9 ka BP期间石笋δ13C和Hg记录与中国中部大九湖泥炭地Hg浓度的详细对比。
研究提出,冰期-间冰期尺度上,区域粉尘输入可以显著增加大气Hg的干沉降,是我国中部Hg沉降的主要控制因素。在千年到百年尺度上,气候变化则有重要影响。暖湿气候有利于土壤和岩石风化,向环境中释放更多的Hg。同时,有利于植被发育和土壤微生物活动,产生更多的土壤CO2和有机质,增加渗流水的溶解能力。此外,森林覆盖度的增加也有利于叶片吸收更多的大气元素Hg,通过凋落物而进入土壤,最终记录在石笋中(图2)。该研究揭示,在评估未来全球Hg循环中,全球变暖下的沙尘暴活动、降雨和植被的变化等都需要加以考虑。

图2 冰期-间冰期(a和b)和千年至百年尺度(c和d)上石笋中汞沉积机制概念模型
这一工作首次尝试在洞穴石笋中开展Hg的研究,揭示了这一研究方向的潜力。研究成果最近以Article形式在线发表于《Science Bulletin》。地球环境研究所助理研究员李彦祯为第一作者,通讯作者为谭亮成研究员,合作单位还包括中国地质大学(武汉)、天津大学、西安交通大学、美国加州州立大学、明尼苏达大学等。研究得到了国家自然科学基金(42325705, 42230208)和中国科学院西部交叉团队(xbzg-zdsys-202217)项目的资助。
Yanzhen Li, Liangcheng Tan*, Simin Jin, Hai Xu, Lüfan Chen, David B. Kemp, Ashish Sinha, Le Ma, Chunju Huang, R. Lawrence Edwards, Hai Cheng, Mercury deposition in central China from the Last Glacial Maximum to the early Holocene recorded in an accurately-dated stalagmite, Science Bulletin (2024), doi: https://doi.org/10.1016/j.scib.2024.07.045
附件下载: