地球环境研究所构筑新型整体式催化剂高效降解甲苯污染
甲苯作为一种典型的挥发性有机污染物,具有很高的大气臭氧和二次有机气溶胶生成潜势,危害大气环境和人类健康。热催化氧化技术是最有效的甲苯污染控制技术之一,将催化剂活性组分负载于载体上,形成高氧活化的整体式催化剂,是实现热催化氧化技术实际应用的关键。传统整体催化剂的制备方法通常将催化剂粉末混合粘合剂进而涂覆在载体表面,存在工艺繁琐、活性成分利用率低,及长期运行后催化剂脱落等问题。因此,需开发新型原位负载策略,并同步实现高效活性位点的构建与暴露,以增强低温下氧的活化,降低甲苯降解能耗。
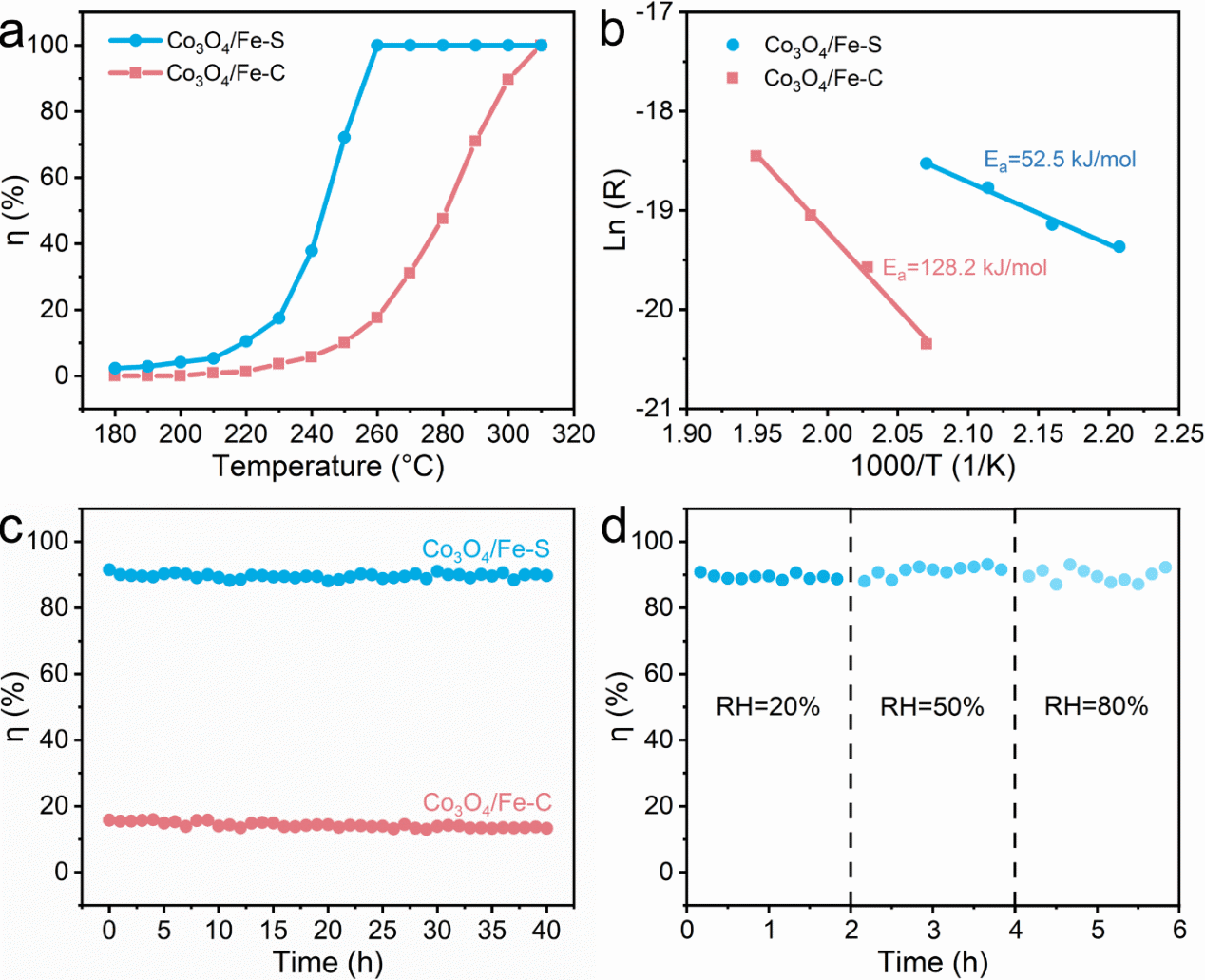
中国科学院地球环境研究所空气净化新技术团队(AirPNT)前期开发了基于Co3O4和Fe3O4系列尖晶石氧化物催化剂,发现构建二维结构(Environ. Sci. Technol. 2023, 57, 35, 13236–13246)以及增强界面效应(Environ. Sci. Technol. 2023, 57, 45, 17598–17609)可实现活性位点的精细调控并改善氧活化能力。基于此,本团队提出全新的原位熔融盐负载策略,首次同步实现了二维Co3O4的构建及其在Fe泡沫载体表面的生长,成功制备具有独特结构的整体式催化剂Co3O4/Fe-S(图1)。该策略具有步骤简单、反应时间短、能耗低(无需额外煅烧)、不产生废水、反应体系可循环性利用等优点。与负载Co3O4纳米立方体的Fe泡沫相比,Co3O4/Fe-S催化性能显著提高,90%甲苯转化率对应温度降低了44℃(图2)。像差校正的扫描透射电镜(图3)和理论计算(图4)显示,Co3O4/Fe-S具有丰富的二维Co3O4/Fe3O4复合界面,可促进活性位点(氧空位和Co3+)的构建与暴露,增强氧活化和甲苯化学吸附,并通过L-H和MvK机制加速反应中间物种的转化。整体式催化剂活性组分的生长机理表明,在熔融盐中Fe泡沫表面生长的二维Fe3O4可原位诱导二维Co3O4的生长,促进二维Co3O4/Fe3O4复合界面形成。本研究为制备高效的整体式催化剂及活性位点调控提供了全新的思路。
相关成果发表于Environment Science & Technology,博士后李荣为第一作者,黄宇研究员为通讯作者。该工作受国家自然科学基金(52200137)、中国科学院战略重点研究项目(XDA23010300和XDA23010000)和中国科学院青年交叉团队(JCTD-2022-17)共同资助。
文章链接:https://pubs.acs.org/doi/10.1021/acs.est.4c04157

图1. Co3O4/Fe-S整体式催化剂的制备方法和外观

图2. Co3O4/Fe-S的甲苯催化氧化活性

图3. Co3O4/Fe-S的二维Co3O4/Fe3O4复合界面微观结构

图4. Co3O4/Fe-S表面甲苯降解反应路径的理论计算结果
附件下载: