地球环境研究所气溶胶细粒子形成机制研究取得进展
二次有机气溶胶(SOA)是我国重霾期间气溶胶细粒子的重要组成部分。挥发性有机物(VOCs)作为SOA的重要前体物之一,其光化学氧化产生的活性物种(如过氧自由基(RO2)、克里格中间体(Criegee)等)在SOA形成过程中起重要作用。因此,从分子尺度探究活性物种之间的相互转化机制,对深入理解SOA形成机制具有重要理论意义。
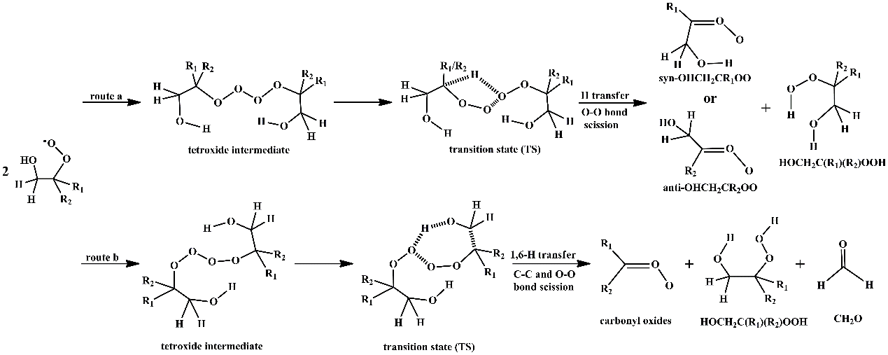
近期,中国科学院地球环境研究所黄宇团队采用量子化学计算手段,讨论三种典型烯烃(乙烯(C2H4)、丙烯(C3H6)和异丁烯(C4H8))光化学氧化产生羟基过氧自由基(HO-RO2),及其转化为克里格中间体的反应机理与动力学性质,发现:(1)HO-RO2与OH反应,在单重态势能面首先氧氧耦合形成三氧化合物ROOOH,随后分解为RO和HO2,且ROOOH稳定性随取代基数目增加而升高(图1),并在叁重态势能面发生抽氢反应形成克里格中间体;(2)HO-RO2与HO-RO反应在单重态势能面首先形成ROOOR,随后分解回到反应物,在叁重态势能面上才形成克里格中间体;(3)HO-RO2自反应形成克里格中间体的反应能垒与取代基数目和位置密切相关(图2),且二甲基取代的HO-RO2自反应与HO2反应形成有效竞争。上述结果深化了过氧自由基与克里格中间体转化机制的传统路径认识,对提高模式预测精确度、准确评估人为源排放对SOA生成的影响具有重要意义。
该成果发表于《Atmospheric Environment》期刊,陈龙副研究员为第一作者,黄宇研究员为通讯作者。该工作并得到国家自然科学基金(42175134、41805107)资助。
文章链接: https://doi.org/10.1016/j.atmosenv.2024.120828
图1. 在CCSD(T)//M06-2X/6-311+G(2df,2p)水平上HO-RO2与OH反应势能剖面图

图2. HO-RO2自反应形成克里格中间体可能反应路径
附件下载: