地球环境研究所揭示黄土高原土壤有机质累积的微生物学机制方面取得进展
土壤微生物将植物来源的碳(C)转化为颗粒有机碳(POC)和矿物结合有机碳(MAOC)。虽然微生物碳利用效率(CUE)在当前的生物地球化学模型中被广泛认为是土壤有机碳(SOC)储量的关键预测因子,但实地的大规模的证据仍然有限。本研究在整个黄土高原进行了大规模的采样,涵盖了整个研究区不同土地利用类型和气候区域,用于评估POC和MAOC积累的微生物学机制,同时也考虑了气候、土地利用类型和微生物变量对POC和MAOC的影响。
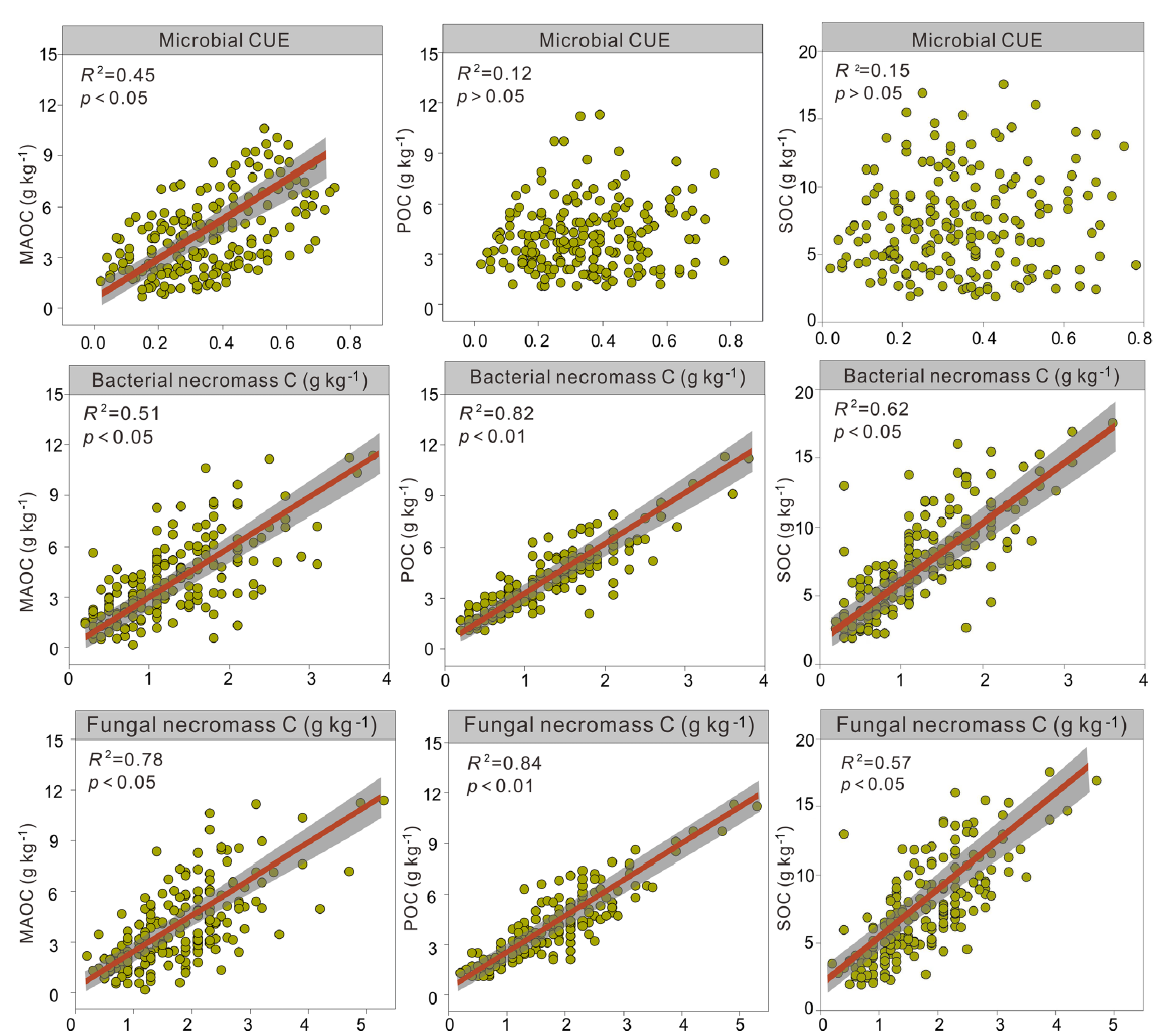
结果发现:黄土高原POC和MAOC的积累主要集中5°C-10°C和300-500 mm的区域。微生物残体碳与POC的正相关性高于与MAOC的正相关性(p<0.05),这表明微生物残体对POC的作用比MAOC的作用更强。由于缺乏黏土保护,POC的周转率更快,这可能导致微生物残体的快速周转,从而与CUE解耦。从这个意义上说,SOC的积累是由微生物残体驱动的,而CUE解释了MAOC的动态变化。该研究结果表明,仅依靠微生物碳利用效率(CUE)来预测土壤有机碳(SOC)储量是不够的。相反,建议将CUE和微生物残体结合起来解释SOC的动态变化,它们各自影响不同的碳库。
最后,本研究强调,黄土高原土壤微生物CUE可以通过微生物生物量和残体途径间接影响POC和MAOC,即微生物的“续埋效应”(微生物碳泵理论)。因此,微生物CUE和残体碳共同控制土壤碳的储存,丰富了土壤有机碳形成的微生物学机制。
该研究成果近期发表在Global Change Biology。中国科学院地球环境研究所黄土关键带与生态环境安全团队杨阳研究员为第一作者,王云强研究员为通讯作者。该研究得到国家自然科学基金(U24A20629; 42377241; 32241037)和中国科学院青促会专项(2023430)等项目的共同资助。
Yang, Y., Gunina, A., Cheng, H., Liu, L., Wang, B., Dou, Y., Chang, S. X. (2025). Unlocking Mechanisms for Soil Organic Matter Accumulation: Carbon Use Efficiency and Microbial Necromass as the Keys. Global Change Biology, 31(1), e70033.https://doi.org/10.1111/gcb.70033.

图1黄土高原颗粒有机碳(POC)和矿物相关有机碳(MAOC)含量(g kg−1)的空间分布

图2环境因素(分为气候条件、植物、土壤和微生物因素)对颗粒有机碳(POC)和矿物相关有机碳(MAOC)储量的影响

图3碳利用效率(CUE)、细菌残体碳和真菌残体碳与MAOC和POC之间的线性回归
附件下载: