地球环境研究所在砗磲氧同位素重建不同类型ENSO研究中取得新进展
厄尔尼诺–南方涛动(ENSO)是热带太平洋海气耦合产生的年际气候模态,对全球气候具有深远影响。ENSO事件在空间结构上存在明显差异,可分为东太平洋型(EP)和中太平洋型(CP),二者在动力机制、遥相关模态及相关气候影响方面均表现不同。砗磲是海洋中体型最大的双壳类,其壳体δ18O受海水温度和海水δ18O共同影响。尽管已有研究提示砗磲δ18O可有效记录ENSO,但其对不同类型ENSO事件的重建能力仍缺乏系统性评估。
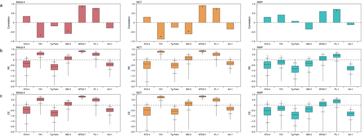
中国科学院地球环境研究所气候变化集成–模拟–同化–预测团队(CLIMAP)整合了已发表的现代砗磲δ18O记录,并结合观测与模式资料,系统评估其对ENSO整体变率及不同ENSO类型的重建能力。结果表明,大多数砗磲δ18O记录能够反映ENSO的总体变化,但仅南海记录对EP型事件具有一定区分度,而目前尚无任何单一记录能够有效识别CP型事件。此外,研究发现,对CP型事件较为敏感的区域往往也对EP型事件有良好响应,使得单点海洋生物碳酸盐δ18O难以实现对CP型事件的有效区分,凸显了多地点联合重建的必要性。
本研究不仅系统评估了砗磲δ18O的ENSO重建能力,也为理解古ENSO重建差异提供了新的视角。相关成果已发表于Global and Planetary Change。论文第一作者为中国科学院地球环境研究所韩韬博士,通讯作者为晏宏研究员。
本研究受到国家重点研发计划(2023YFF0804802)、国家自然科学基金(42573085、42103083、42025304、4240030433)及崂山实验室科技创新项目(LSKJ202203300)等资助。
Han, T., Xue, G., Zhao, N., Wang, G., Yan, H. (2025). Assessing the skill of Tridacna δ18O records in reconstructing ENSO variability and its flavors. Global and Planetary Change, 256, 105177.
文章链接:https://doi.org/10.1016/j.gloplacha.2025.105177


图2 观测与模式资料对ENSO的重建技巧。
附件下载: