NC:地球环境所提出低温催化降解挥发性有机物新路径
催化氧化技术是挥发性有机物(VOCs)污染治理的重要手段,但实际应用中,传统催化剂在低温(<200℃)条件下表面活性位点的给电子能力不足,对氧气(O2)的活化能力有限,严重制约净化效率。贵金属纳米颗粒虽具备良好的给电子特性,但活性位点利用率低;而高利用率的贵金属单原子催化剂又电子密度不足。因此,如何设计材料活性位点结构,使其兼具高电子密度和高原子利用率,成为低温催化降解VOCs的关键问题。
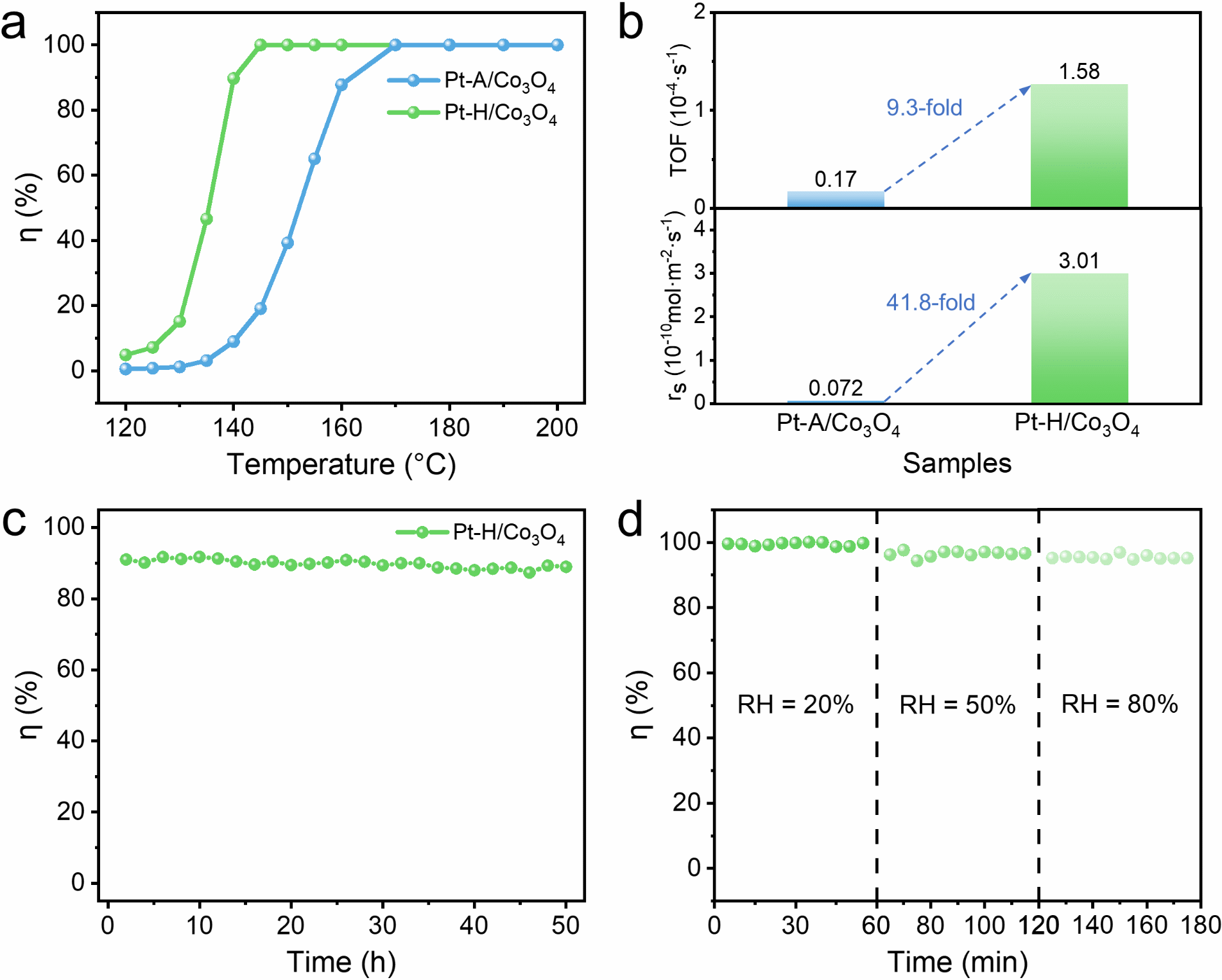
中国科学院地球环境研究所空气净化新技术团队(AirPNT)提出了一种构筑零价铂单原子的新路径。研究团队以富含晶格缺陷的超薄Co3O4纳米片为载体,通过低温氢气还原策略成功实现了零价铂单原子的稳定构筑。理论计算与多手段谱学表征显示,与常规的高价铂单原子相比,零价铂单原子消除了部分氧配位,形成铂与钴强相互作用的局域结构,显著优化金属与载体间电子相互作用,使铂单原子富集电子,增强了对O2的给电子能力。零价铂单原子可将O2直接活化至高活性过氧态,而高价铂单原子仅能将O2活化至活性更弱的超氧态(图1)。以甲苯这种典型VOC污染物为例,零价铂单原子在140 °C(甲苯降解率为90%对应的温度)的转化频率较高价铂单原子提升9.3倍(图2)。机理研究表明,零价铂单原子还改变了甲苯的吸附构型和反应路径,使其降解产生的中间物种更易转化,提升了催化剂稳定性(图3)。
该成果近期在线发表于《自然·通讯》(Nature Communications)。研究得到国家自然科学基金(52400139)及黄土科学全国重点实验室项目(SKLLQGZD2503)等的支持。
相关文献:Li Rong, Huang Yu, Zhu Dandan, Zhang Hongna, Cao Leo N. Y., Cao Junji, Lee Shuncheng, Unleashing the power of zero-valent platinum single atoms for enhancing low-temperature oxygen activation. Nature Communications, 2026.
原文链接:https://www.nature.com/articles/s41467-026-70170-3

图1. 氧气活化机理

图2. 零价铂单原子与高价铂单原子的甲苯催化氧化性能对比

图3. 甲苯催化氧化机制
附件下载: